Бегущая строка
Авторизация
AA+
Жонгар – Алатауский государственный национальный природный парк
РГУ Комитета лесного хозяйства и животного мира Министерства Экологии и природных ресурсов РК
Бегущая строка
Жонгар – Алатауский государственный национальный природный парк
РГУ Комитета лесного хозяйства и животного мира Министерства Экологии и природных ресурсов РК

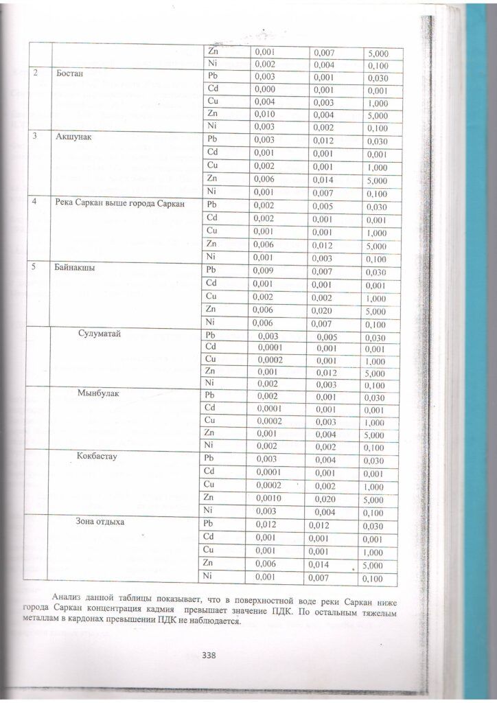
И поверхностей воды в антропогенно-нарушенной буферной зоне в условиях заповедного режима Жонгар-Алатауского, Алтынемельского национальных природных парков (2014 г.)