Кіру
Тіркелу кезінде көрсетілген логин мен парольді пайдаланып жеке кабинетке кіріңіз
Бұл өрісті толтыру қажет
Бұл өрісті толтыру қажет
Есте сақтау
Кіру
Тіркелу
Нысанды толтыру кезінде белгіленген (*) жолдарды толтыру міндетті екеніне назар аударыңыз.
Бұл өрісті толтыру қажет
Бұл өрісті толтыру қажет
Бұл өрісті толтыру қажет
Бұл өрісті толтыру қажет
Бұл өрісті толтыру қажет
Бұл өрісті толтыру қажет
Бұл өрісті толтыру қажет
Сайтта тіркеле отырып, мен өзімнің дербес деректерімді жинауға және өңдеуге келісім беремін
Тіркелу
Доступтарды қалпына келтіру
Жеке кабинетке кіруді қалпына келтіріңіз, шоттың email енгізіңіз.
Бұл өрісті толтыру қажет
Қалпына келтіру
Жүгіру жолы
Кіру
A
A
+
Каз
Рус
Жоңғар - Алатауы мемлекеттік ұлттық табиғи парк
ҚР Экология және табиғи ресурстар министрлігі Орман шаруашылығы және жануарлар дүниесі комитетінің РММ
Парк туралы
Парк тарихы
Басшылық
Құрылымдық бөлімшелердің басшылары
Жеке тұлғаларды қабылдау кестесі
Жалпы құрылымы
Парктің филиалдары
Жаңалықтар
Фотогалерея
Байланыстар
Жүгіру жолы
Жоңғар - Алатауы мемлекеттік ұлттық табиғи парк
ҚР Экология және табиғи ресурстар министрлігі Орман шаруашылығы және жануарлар дүниесі комитетінің РММ
A
A
+
Каз
Рус
Іздеу
Парк туралы
Парк тарихы
Басшылық
Құрылымдық бөлімшелердің басшылары
Жеке тұлғаларды қабылдау кестесі
Жалпы құрылымы
Парктің филиалдары
Жаңалықтар
Фотогалерея
Байланыстар
8(72839)2-12-01
Вход в аккаунт kz
Басты бет
Парк туралы өзекті
Парктің ақпараттық картасы
Нормативтік құжаттар
ЕҚТА паспорты
Бас жоспар
Басқару жүйесі
Үйлестіру кеңесі
Туризм
Туристік маршруттардың паспорттары
Көрсетілетін қызметтер (тарифтік жоспар)
Прайс парақтар
Нормативтік - құқықтық база
Ұлттық паркке бару бойынша ұсыныстар
Қауіпсіздік ережелері
Туристік маршруттар
Туристік маршруттардың карта - сызбасы
Келуге өтініш қалдыру
Учаскені пайдаланудың үлгілік келісім шарты
Билетті алу
Рекреациялық жүктеме есептегіші
Табиғи жағдайлар
Ауа райы болжамы (қауіпсіздік және табиғи құбылыстар туралы ескерту)
Ғылым
Қызыл кітап
Флора
Фауна
Ғылыми мақалалар
Ғылыми-техникалық кеңес (ҒТК)
Ғылыми еңбектер жинағы
Конференция материалдары
Сиверс алмасының гүлдеуі фестивалі
Экологиялық ағарту
Таза Қазақстан
Акциялар
Парктер шеруі
Іс - шаралар
Еріктілер
Іс - шаралар
Мектеп орманшылығы
Іс - шаралар
Табиғат мұражайы
Сыбайлас жемқорлыққа қарсы іс-қимыл мәселелері
Заңдар
Сыбайлас жемқорлыққа қарсы саясат
Комплаенс қызметі
Іс - шаралар жоспары
Сыбайлас жемқорлыққа қарсы іс - шаралар
Сенім телефоны
Сыбайлас жемқорлық картограммасы
Жиі қойылатын сұрақтар
ҚР ЭТРМ орман шаруашылығы және жануарлар дүниесі комитетінің ресми ресурстары
Бос жұмыс орындары, біліктілік талаптары
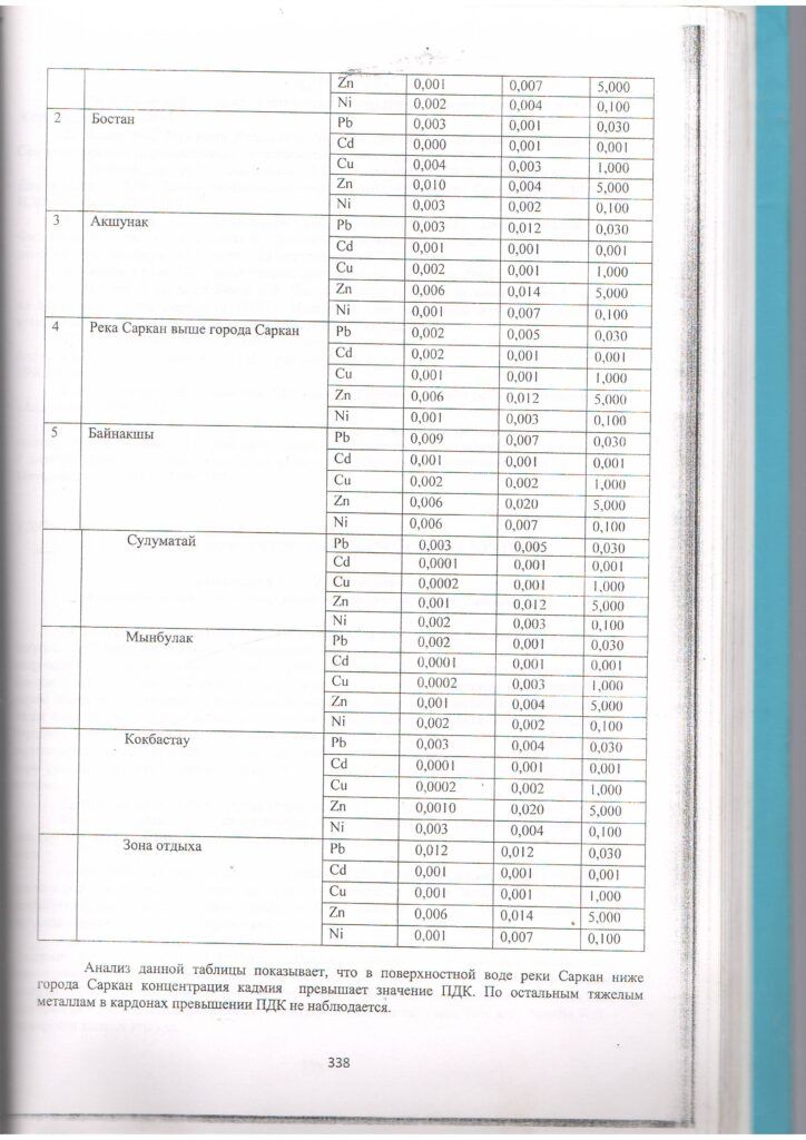
Жоңғар - Алатауы, Алтын Емел ұлттық табиғи парктерінің қорық режимі жағдайында антропогендік бұзылған буферлік аймақтағы топырақ пен су беттерінің ластануын салыстырмалы талдау және мониторингілеу (2014 ж.)
Жм, 14 Наурыз 2025